mirror of
https://gitlab.freedesktop.org/wayland/wayland.git
synced 2026-03-24 09:06:21 -04:00
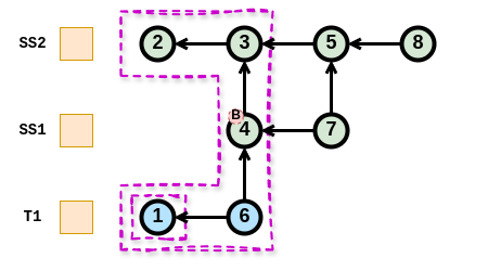
The behavior of content updates, specifically in combination with sync subsrufaces and constrains can become quite complicated. This introduces a chapter in the wayland book which explains the behavior of the core specification in this regard, and shows examples. Signed-off-by: Sebastian Wick <sebastian.wick@redhat.com>
27 KiB
450x250px
27 KiB
450x250px