wayland/doc/publican/html/images/content-updates/sync-subsurf-case1-3.png
Sebastian Wick 1807450a7b doc: Add a chapter on content updates
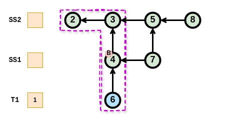
The behavior of content updates, specifically in combination with sync
subsrufaces and constrains can become quite complicated. This introduces
a chapter in the wayland book which explains the behavior of the core
specification in this regard, and shows examples.

Signed-off-by: Sebastian Wick <sebastian.wick@redhat.com>
2026-01-22 10:49:37 +02:00

22 KiB
450x250px